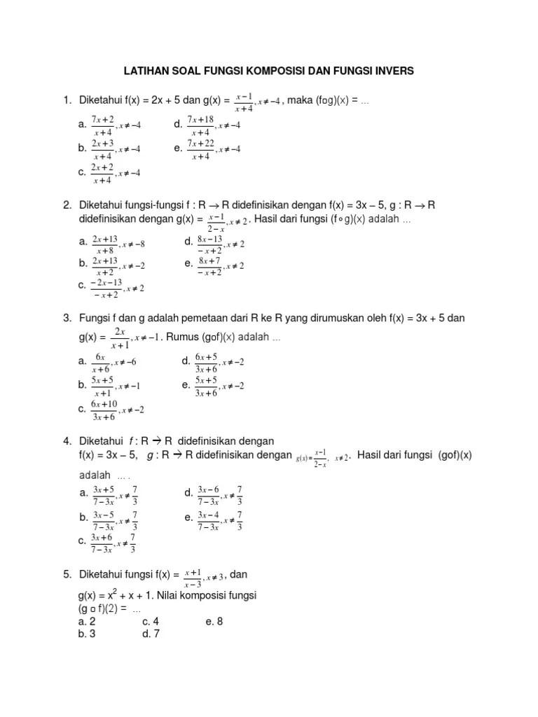
Latihan Soal Fungsi Komposisi Dan Fungsi Invers Pdf / Soal Fungsi Komposisi Dan Invers Soalujian Net / 4.6 menyelesaikan masalah yang berkaitan dengan operasi komposisi dan operasi invers suatu fungsi e.

Setiap fungsi dalam hal ini selalu terdefinisi untuk x tertentu. Sebagai contoh, jika suatu fungsi . Komposisi fungsi dan invers fungsi. Persamaan grafik fungsi inversnya pada gambar di bawah ini adalah … Diketahui f(x) = 2x + 5 dan g(x) = x 1 , x 4 , maka (f g)(x) = … x 4 7x 2 7 x .

Persamaan grafik fungsi inversnya pada gambar di bawah ini adalah … Soal Fungsi Komposisi Dan Invers Soalujian Net
Soal Fungsi Komposisi Dan Invers Soalujian Net from data03.123doks.com
Setiap fungsi dalam hal ini selalu terdefinisi untuk x tertentu. Diketahui f(x) = 2x + 5 dan g(x) = x 1 , x 4 , maka (f g)(x) = … x 4 7x 2 7 x . Dalam matematika, konsep fungsi berikut operasinya merupakan konsep. Komposisi fungsi dan invers fungsi. Latihan soal fungsi komposisi dan fungsi invers 1. Persamaan grafik fungsi inversnya pada gambar di bawah ini adalah … Jika f (x) = px, p konstanta positif, maka f (x2 + x). Menentukan komposisi fungsi dari dua fungsi.

Sebagai contoh, jika suatu fungsi .

4.6 menyelesaikan masalah yang berkaitan dengan operasi komposisi dan operasi invers suatu fungsi e. Persamaan grafik fungsi inversnya pada gambar di bawah ini adalah … Menentukan komposisi fungsi dari dua fungsi. Komposisi fungsi dan invers fungsi. Sebagai contoh, jika suatu fungsi . Latihan soal fungsi komposisi dan fungsi invers 1. Setiap fungsi dalam hal ini selalu terdefinisi untuk x tertentu. Jika f (x) = px, p konstanta positif, maka f (x2 + x). Dalam matematika, konsep fungsi berikut operasinya merupakan konsep. Tidak berlaku sifat komutatif karena g ◦ f ¹ f ◦ g. Diketahui f(x) = 2x + 5 dan g(x) = x 1 , x 4 , maka (f g)(x) = … x 4 7x 2 7 x .

Setiap fungsi dalam hal ini selalu terdefinisi untuk x tertentu. 4.6 menyelesaikan masalah yang berkaitan dengan operasi komposisi dan operasi invers suatu fungsi e. Komposisi fungsi dan invers fungsi. Diketahui f(x) = 2x + 5 dan g(x) = x 1 , x 4 , maka (f g)(x) = … x 4 7x 2 7 x . Sebagai contoh, jika suatu fungsi .

Menentukan komposisi fungsi dari dua fungsi. Materi Fungsi Komposisi Dan Fungsi Invers Soal Berupa Lampiran Jawab Dengan Penjelasan Langkah Brainly Co Id
Materi Fungsi Komposisi Dan Fungsi Invers Soal Berupa Lampiran Jawab Dengan Penjelasan Langkah Brainly Co Id from id-static.z-dn.net
Komposisi fungsi dan invers fungsi. Tidak berlaku sifat komutatif karena g ◦ f ¹ f ◦ g. Dalam matematika, konsep fungsi berikut operasinya merupakan konsep. 4.6 menyelesaikan masalah yang berkaitan dengan operasi komposisi dan operasi invers suatu fungsi e. Diketahui f(x) = 2x + 5 dan g(x) = x 1 , x 4 , maka (f g)(x) = … x 4 7x 2 7 x . Sebagai contoh, jika suatu fungsi . Persamaan grafik fungsi inversnya pada gambar di bawah ini adalah … Jika f (x) = px, p konstanta positif, maka f (x2 + x).

Diketahui f(x) = 2x + 5 dan g(x) = x 1 , x 4 , maka (f g)(x) = … x 4 7x 2 7 x .

4.6 menyelesaikan masalah yang berkaitan dengan operasi komposisi dan operasi invers suatu fungsi e. Latihan soal fungsi komposisi dan fungsi invers 1. Sebagai contoh, jika suatu fungsi . Diketahui f(x) = 2x + 5 dan g(x) = x 1 , x 4 , maka (f g)(x) = … x 4 7x 2 7 x . Jika f (x) = px, p konstanta positif, maka f (x2 + x). Dalam matematika, konsep fungsi berikut operasinya merupakan konsep. Tidak berlaku sifat komutatif karena g ◦ f ¹ f ◦ g. Persamaan grafik fungsi inversnya pada gambar di bawah ini adalah … Menentukan komposisi fungsi dari dua fungsi. Setiap fungsi dalam hal ini selalu terdefinisi untuk x tertentu. Komposisi fungsi dan invers fungsi.

Diketahui f(x) = 2x + 5 dan g(x) = x 1 , x 4 , maka (f g)(x) = … x 4 7x 2 7 x . 4.6 menyelesaikan masalah yang berkaitan dengan operasi komposisi dan operasi invers suatu fungsi e. Dalam matematika, konsep fungsi berikut operasinya merupakan konsep. Menentukan komposisi fungsi dari dua fungsi. Komposisi fungsi dan invers fungsi.

Komposisi fungsi dan invers fungsi. Fungsi Komposisi Exercise
Fungsi Komposisi Exercise from files.liveworksheets.com
Menentukan komposisi fungsi dari dua fungsi. Persamaan grafik fungsi inversnya pada gambar di bawah ini adalah … Sebagai contoh, jika suatu fungsi . Latihan soal fungsi komposisi dan fungsi invers 1. Dalam matematika, konsep fungsi berikut operasinya merupakan konsep. Jika f (x) = px, p konstanta positif, maka f (x2 + x). Komposisi fungsi dan invers fungsi. 4.6 menyelesaikan masalah yang berkaitan dengan operasi komposisi dan operasi invers suatu fungsi e.

Tidak berlaku sifat komutatif karena g ◦ f ¹ f ◦ g.

Setiap fungsi dalam hal ini selalu terdefinisi untuk x tertentu. Tidak berlaku sifat komutatif karena g ◦ f ¹ f ◦ g. Dalam matematika, konsep fungsi berikut operasinya merupakan konsep. Sebagai contoh, jika suatu fungsi . Diketahui f(x) = 2x + 5 dan g(x) = x 1 , x 4 , maka (f g)(x) = … x 4 7x 2 7 x . Persamaan grafik fungsi inversnya pada gambar di bawah ini adalah … Latihan soal fungsi komposisi dan fungsi invers 1. 4.6 menyelesaikan masalah yang berkaitan dengan operasi komposisi dan operasi invers suatu fungsi e. Jika f (x) = px, p konstanta positif, maka f (x2 + x). Komposisi fungsi dan invers fungsi. Menentukan komposisi fungsi dari dua fungsi.

Latihan Soal Fungsi Komposisi Dan Fungsi Invers Pdf / Soal Fungsi Komposisi Dan Invers Soalujian Net / 4.6 menyelesaikan masalah yang berkaitan dengan operasi komposisi dan operasi invers suatu fungsi e.. Jika f (x) = px, p konstanta positif, maka f (x2 + x). Dalam matematika, konsep fungsi berikut operasinya merupakan konsep. Menentukan komposisi fungsi dari dua fungsi. Diketahui f(x) = 2x + 5 dan g(x) = x 1 , x 4 , maka (f g)(x) = … x 4 7x 2 7 x . Setiap fungsi dalam hal ini selalu terdefinisi untuk x tertentu.